經濟發展“穩中求進”的先決條件和著力點
作者:陳勇勤(中國人民大學經濟學院教授)
以習近平同志為核心的黨中央把堅持穩中求進工作總基調作為做好經濟工作的方法論。黨的十九大報告指出:我們堅持穩中求進工作總基調,迎難而上,開拓進取,取得了改革開放和社會主義現代化建設的歷史性成就;堅定不移貫徹新發展理念,堅決端正發展觀念、轉變發展方式,發展質量和效益不斷提升;社會大局保持穩定;國內生產總值從五十四萬億元增長到八十萬億元,穩居世界第二;蹄疾步穩推進全面深化改革。2021年12月中央經濟工作會議指出,“著力穩定宏觀經濟大盤,保持經濟運行在合理區間,保持社會大局穩定”,為此“各方面要積極推出有利于經濟穩定的政策”,并且“政策發力適當靠前”。
“穩中求進”的先決條件
黨的領導和政策指導。十九大報告強調“加強黨的集中統一領導”,“加強黨的全面領導”。要提高黨“定政策”的“能力和定力”;在資源配置中,與市場“起決定性作用”相關聯,“更好發揮政府作用”;政府職能把“科學合理的管理體制”和“宏觀調控有度的經濟體制”完美地結合,彰顯“政府公信力和執行力”。
“人民滿意的服務型政府”的政策指導主要體現在,“創新和完善宏觀調控,發揮國家發展規劃的戰略導向作用,健全財政、貨幣、產業、區域等經濟政策協調機制”。政策和協調的組合運用,正是在黨“總攬全局”下,黨“定政策”和黨“協調各方”的具體實踐。
辯證的全局觀。其主導因素是習近平總書記對我們黨提出的“全面增強執政本領”應堅持的“五個思維”中的“辯證思維”。十九大報告指出,必須增強大局意識,“黨把方向、謀大局”,統籌推進“五位一體”總體布局,統籌國內國際兩個大局。
概括講,“穩中求進”的先決條件是:黨始終總攬全局=辯證的全局觀=辯證思維+大局意識;宏觀調控=政策+協調=系統觀念+統籌協調;全國統籌=頂層設計+整體謀劃。
“穩中求進”的著力點
“不斷提高人民生活水平”的前提是“經濟持續健康發展”,由此,要“把發展作為黨執政興國的第一要務”。貫徹新發展理念,“不斷開創發展新局面”的“實踐創新”中,經濟發展的宏觀表象,質的尺度是高質量,量的尺度是GDP增長。這也體現在2021年12月中央經濟工作會議提出的“經濟實現質的穩步提升和量的合理增長”。
GDP增長的主動力是生產和消費。第一,生產的關鍵在“深化供給側結構性改革”。把提高供給體系質量作為主攻方向,顯著增強我國經濟質量優勢;堅持質量第一、效益優先,以供給側結構性改革為主線,推動經濟發展質量變革、效率變革、動力變革。第二,“穩”,要求在“優化存量資源配置,擴大優質增量供給”基礎上,“實現供需動態平衡”。第三,“補短板”關鍵在創新,“創新是引領發展的第一動力”。有經濟創新力,才有經濟競爭力。人才強國是創新型國家的基石。有人才強國,才有科技強國、質量強國、制造強國、網絡強國、交通強國、航天強國、海洋強國,才能實現“強軍夢”。第四,“去庫存”關鍵在增銷量,這一方面讓“消費對經濟發展的基礎作用”發揮出來,另一方面,既需要政府“完善促進消費的體制機制”,也需要產銷者具備職業道德,消費者具有與國家“擴大內需戰略”相適應的新時代消費觀。
價格和利潤作為助力或阻力的正反作用。第一,商品價格和消費支出成正比。“擴大內需”較理想的供求關系是,一定的消費支出購買盡可能多的產品。這屬于國民收入與商品銷量的關系。第二,商品價格和銷售利潤成正比。降價可使不變的國民收入換來相對多的商品銷量。從誠信的角度說,即便利潤減少,或者以一般利潤出現,也應該用正常方式獲得利潤。從經濟變量之間關系的角度說,為增加利潤使價格上漲,對經濟的負面影響較大。第三,“降成本”,要么是供求使中間產品價格下降,要么是節約使中間產品耗量減少。降價格導致利潤減少,減利潤又要考慮減稅。從中也可以間接地理解“保供穩價”和“減稅降費”這兩個經濟舉措之間的互動關系。第四,利潤要么投資,要么消費。不過利潤消費只能抵消基本價的增加量,讓上漲價格回歸基本價。第五,利潤唯一與資本相伴,利潤的正反作用使得資本必有正反作用。
利潤投資與就業。第一,投資可以影響供給結構,因而要“發揮投資對優化供給結構的關鍵性作用”。第二,利潤投資是經濟社會中正常投資的內容之一,只不過屬于自有資本范疇。第三,投資的同時也提供了就業崗位。這是投資的積極作用,是投資對社會做出貢獻的一面。第四,就業是最大的民生,而且按勞分配原則本身已將就業與群眾基本生活、人民收入水平的關聯度清清楚楚顯示出來。實現就業,才有“人人都有通過辛勤勞動實現自身發展的機會”。“抓好重點群體就業,落實落細穩就業舉措”。保就業,保工資,就是保基本民生。第五,新時代的就業,在“創新是引領發展的第一動力”大環境下的就業,更需要“大規模開展職業技能培訓”,“積極發展職業教育”。這是對勞動者素質跟上經濟發展的時代步伐的客觀要求。
稅收與收入。第一,國民收入,這里主要看居民收入和企業收入,并且主體是勞動者的工資等勞動報酬和企業的利潤。第二,對于就業中勞動者工資的增長,十九大報告中明確提出:“在經濟增長的同時實現居民收入同步增長、在勞動生產率提高的同時實現勞動報酬同步提高。”第三,在收入中,工資和利潤成反比。這是早在19世紀馬克思已經指出的。據此推論,利潤下降相當于工資上升。可見,利潤減少從而價格下降,其積極作用就在于,“保護廣大勞動者和消費者權益”。第四,稅收是利潤的減數,稅收和利潤成反比。包括可讓“降成本”實現的降價格,很重要一個因素來自降利稅。這是稅收政策能夠解決的一個問題。第五,工資與利潤,稅收與利潤,是兩個反比關系。而兩個反比關系之間也有必然聯系,這更需要我們進行深入細致的研究。工資增減與利潤減增,稅收增減與利潤減增,以及同時存在的工資增減與稅收增減,找到其中改變量或改變率的適合度,顯然是可以解決的問題。
發揮分配的功能與作用。“穩中求進”,改善民生水平,收入分配是其中重要的影響因素。對應于“縮小收入分配差距”,“促進收入分配更合理、更有序”,可以這樣說,當下突出的問題在于“調節過高收入”。理論和現實均已證明,一定時段內的國民收入必為有限(這從收入恒等式可以看出),并非無限。正因為如此,“兩極分化”當中過高收入群體的決定作用總要大于低收入群體。而且政府再分配調節職能有相當一部分就是針對過高收入群體。當然,如果可以出臺有效的限制過高收入政策,或許要比調節過高收入能贏得更強烈的社會共鳴。總體上來看,“體現效率、促進公平的收入分配體系”既涉及“中華民族富起來=全體人民共同富裕”這個“人民的幸福線”,又涉及“不斷促進社會公平正義”。
社會文明水平的提高。在十九大報告中,習近平總書記指出“必須著力加以解決”的問題之一是“社會文明水平尚需提高”。可以說,“穩中求進”一方面需要“全面依法治國”;另一方面,既需要“全民守法”,又需要“提高全社會文明程度”,譬如職業道德、奉獻意識等,包括大力提高國民素質,倡導創新文化,弘揚勞模精神和工匠精神,營造勞動光榮的社會風尚和精益求精的敬業風氣,以及激發企業家精神和構建親清政商關系,從而達到“人民有信仰,國家有力量,民族有希望”。
經濟現象的邏輯關系
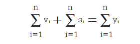
根據國民經濟生產與分配的部門聯系綜合平衡表,或者說投入產出數學模型,我們可以從社會總產品等式導出國民收入等式,即

其中,等號左邊表示國民收入,是工資總額和利潤總額之和;等號右邊表示GDP,是最終產品價格總額。借助這個等式,分析給出如下關系式:利潤→價格→銷量→總利潤→總收入→總價格→……總價格→總工資。可以說,第一,這個關系式的重要性在于,“打通生產、分配、流通、消費各環節”,及至“暢通國內大循環”,都與這個關系式中的因果鏈有直接或間接的關系。第二,這個關系式的整體中存在著貨幣量、利率和匯率三個影響因素。十九大報告關注“深化利率和匯率市場化改革”,2021年12月中央經濟工作會議強調“穩健的貨幣政策要靈活適度,保持流動性合理充裕”。第三,這個關系式相當于自然法則,前文所述與此相關還有一些需要討論的問題。不過在這里,只能暫且撇開這些問題不談。盡管如此,仍有兩個問題需要有清晰的解答:
首先,面臨的“三重壓力”并不可怕,“我們既要正視困難,又要堅定信心”;“我國經濟韌性強,長期向好的基本面不會改變”;從目前的形勢來看,已經“實現了‘十四五’良好開局”。第一,關于需求收縮。在某些領域,以創新和提供“滿足人民日益增長的美好生活需要”的產品來應對。在總體上,以國家“擴大內需戰略”來應對;同時也需要領悟“擴大內需”與“節約優先”、在消費領域“增強全民節約意識”、在財政支出上“黨政機關要堅持過緊日子”之間的辯證關系。第二,關于供給沖擊。主要以“降成本”來應對。由此又可以帶來均衡價格水平下降,均衡產出增加。第三,關于預期轉弱。以“四個自信”,“自力更生,艱苦創業”精神,“堅定信心、奮發有為”氣魄來應對。這方面,重點在“高度重視傳播手段”即“新聞輿論傳播力、引導力、影響力、公信力”,特別是“堅持正確輿論導向”,從而激勵人們在“銳意進取,埋頭苦干”中做“擔當民族復興大任的時代新人”。
其次,社會主義社會所包含的資本擴張,嚴格講,是允許包容的資本擴張,并且首先是“與社會主義社會相適應”的“資本規范健康發展”,是與國家宏觀經濟政策相吻合的“資本規范健康發展”,它比籠統的所謂資本有序擴張,明顯有確切的定義。離開了“與社會主義社會相適應”這一關鍵點,越過了“與國家宏觀經濟政策相吻合”這一警戒線,“資本無序擴張”甚至“資本野蠻生長”必定給我國經濟運行造成負面影響。十九大報告強調“毫不動搖鼓勵、支持、引導非公有制經濟發展”,并且在“發揮投資對優化供給結構的關鍵性作用”的同時“深化投融資體制改革”;與此相對應,也配套有像“完善市場監管體制”,“健全金融監管體系,守住不發生系統性金融風險的底線”等相關的國家治理措施。也就是說,社會主義社會引入的這個資本擴張,必然涉及習近平總書記對我們黨提出的,“全面增強執政本領”應堅持的“五個思維”中的兩個即“底線思維”和“法治思維”。政府監管,是對引發系統性金融風險這個越過“底線”的資本行為的監管,是依法監管,是依法治國的必有內容。
綜上,從重申的角度扼要地強調兩點:第一,應對資本擴張問題,一方面是確認資本野蠻生長領域,另一方面是確認我國經濟短板領域。前者要對野蠻生長的資本實施限制政策,后者要對規范健康發展的資本實施鼓勵進入政策。進入短板領域的資本,不僅和“提高直接融資比重,促進多層次資本市場健康發展”有一定聯系,而且作為一種生產要素,也在“保市場主體”覆蓋面當中。第二,應對收入分配問題,有必要認定哪些領域應限制過高收入,哪些領域可允許適當高收入。前者對應于履行政府初次分配限制職能,后者對應于履行政府再分配調節職能。可以考慮,對那些必定要和再分配共同存在的過高收入,應進一步加大稅收調節力度。


